2023年12月3日,星空集团美科使用人骨髓间充质干细胞(hBMMSC)治疗自闭症的临床前药效学研究论文《Intravenous transplantation of bone marrow-derived mesenchymal stem cells improved behavioral deficits and altered fecal microbiota composition of BTBR mice》(骨髓间充质干细胞静脉移植改善BTBR小鼠的行为缺陷并纠正其粪便微生物群组成),已经正式被国际知名学术期刊《Life Sciences》接收并发表。

该论文运用翔实的数据,充分证实了人骨髓间充质干细胞(hBMMSC)治疗自闭症模型动物的有效性,并在国际上首次提出了干细胞治疗对于自闭症模型动物肠道菌群的影响。这也预示着干细胞或在治疗自闭症方面存在巨大开发潜力。
自闭症谱系障碍(Autism Spectrum Disorder,ASD),又称孤独症,是一种高度复杂的神经发育障碍性疾病。该疾病起病于婴幼儿时期,以社会交往障碍、交流障碍、局限兴趣、刻板与重复行为方式为主要临床表现,多数患儿还会伴有不同程度的精神发育迟滞。据统计,我国目前大约有1300万自闭症患儿,平均每100个孩子中就有一个自闭症,全球目前自闭症患儿已经超过6700万。目前针对自闭症尚无明确的治疗方法,属于未被满足的医疗需求,迫切需要找到新的治疗策略。
星空集团美科的临床团队,通过多个时间点的旷场(open field test,OFT)、明暗箱(light-dark box test,LDT)、新物体识别(novel object recognition,NOR)、自由社交(free social test,FST)、刻板行为(stereotypic behavior,SB)等一系列行为学试验(图1、2、3),发现了人骨髓间充质干细胞(hBMMSC)静脉治疗可有效缓解了BTBR小鼠的自闭症样症状,主要表现为运动、焦虑行为及刻板行为的减少,社会缺陷的补救等。

(图1)
图1,人骨髓间充质干细胞(hBMMSC)治疗可改变BTBR小鼠的焦虑和探索性运动。A.旷场实验方案。B.旷场试验中BTBR和C57小鼠的预处理,包括总距离、转角总距离、中心运动总数和转角运动总数。C.用总距离、转角总距离、中心总移动次数、转角总移动次数表示的旷场试验线形图。D.明暗箱试验方案。E.明暗箱测试焦虑和探索性测试的折线图用明箱时间和光运动总数表示。数据以mean±SEA表示。每组N = 12。与C57-veh组相比,?p < 0.05; ??p < 0.01; ???p < 0.001; ????p < 0.0001;与BTBR-veh组相比, #p < 0.05; ##p < 0.01。组内及组间比较采用Tukey方法进行方差分析。

(图2)
图2,人骨髓间充质干细胞(hBMMSC)治疗可以改善BTBR小鼠在社交任务中的社交缺陷。A.社会互动任务方案。B. BTBR和C57小鼠在社会互动任务中的预处理,包括接近次数、接近时间、接近和跟随次数、接近和跟随时间的折线图。社会互动测试表现为接近时间,接近时间,接近和跟随时间,接近和跟随时间。数据以mean±SEA表示。每组N = 12。与C57-veh组相比, ?p < 0.05; ???p < 0.001; ????p < 0.0001; 与BTBR-veh组相比,#p < 0.05; ##p < 0.01 。组内及组间比较采用Tukey方法进行方差分析。

(图3)
图3,人骨髓间充质干细胞(hBMMSC)治疗对挽救认知记忆缺陷和改变刻板行为的影响。A.新物识别方案。B.预处理各组小鼠的识别指数。C.各组小鼠预处理偏好指数。新目标识别的线形图表示为。D .识别指数和 E.偏好指数。F.治疗前C57和BTBR小鼠的刻板行为持续时间。G. 每个测试时间点C57和BTBR小鼠的刻板行为持续时间。H. C57和BTBR小鼠皮毛状况。I. C57和BTBR小鼠皮毛状态评分。数据以mean±SEA表示。每组N = 12。与C57-veh组相比,?p < 0.05; ???p < 0.001; ????p < 0.0001; 与BTBR-veh组相比,#p < 0.05; ##p < 0.01 。组内及组间比较采用Tukey方法进行方差分析。
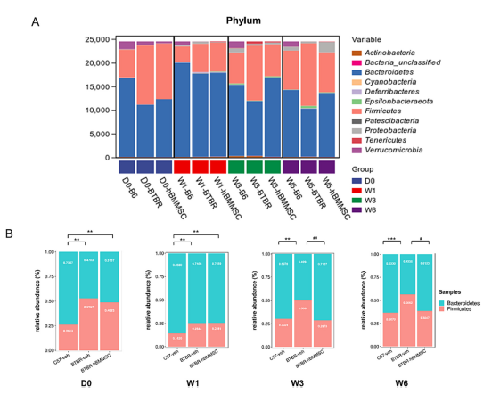
通过在不同连续时间点进行16s rDNA测序,可以看到肠道菌群的调整。值得注意的是,人骨髓间充质干细胞(hBMMSC)治疗成功地纠正了BTBR小鼠中微生物群的相对丰度失调,并确定了特定的分化类群(图4、5)。

(图4)
图4,人骨髓间充质干细胞(hBMMSC)治疗改变了自闭症相关的微生物群失调。A.三个类群在不同时间点的门分类水平柱状图,与C57-veh组比较,??p < 0.01, ???p < 0.001;与BTBR-veh组相比,#p < 0.05, ##p < 0.01。厚壁菌门/拟杆菌门比值的Wilcoxon秩和检验。B. C57和BTBR小鼠拟杆菌门和厚壁菌门的平均丰度(%)。

(图5)
图5,spearman相关矩阵显示正(红色)和负(蓝色)相关。?p < 0.05, ??p < 0.01, ???p < 0.001。
《Life Sciences》是一本以医药学综合研究为特色的SCI国际期刊,最新影响因子6.1分。本次SCI论文的成功发表,充分彰显了星空集团美科在自闭症临床科研自主创新方面的实力。不到一年的时间,星空集团美科临床团队已接连完成两篇SCI文章的接收发表,取得了历史性的新突破。这是星空集团美科高度重视科研工作,以科研创新点燃企业发展引擎,持续加大干细胞产品研发投入,夯实企业发展根基的重要表现,同时也代表着星空集团美科的自闭症最新临床科研成果受到了国际权威学术界的高度关注与认可。
注:本文图片来源于《Life Sciences》期刊